Buigen van metaal

In de werktuigbouw moeten vaak metalen platen in een bepaalde hoek worden gebogen. Een van de technieken die daarbij worden gebruikt is vrijbuigen. Daarbij ligt de metalen plaat op een matrijs met een bepaalde vorm. Hierna wordt een stempel met kracht op de plaat gedrukt, zodat deze de gewenste vorm krijgt. In figuur 1 is dit in een vooraanzicht weergegeven. In figuur 2 zie je een voorbeeld van een metalen plaat na het buigen.

Tijdens het vrijbuigen treedt vervorming op: aan de buitenkant rekt het metaal iets op en aan de binnenkant wordt het samengedrukt. In het inwendige van de metalen plaat bevindt zich de neutrale lijn: de lengte hiervan blijft gelijk na vervorming. In deze opgave nemen we aan dat de dikte van de plaat bij het buigen gelijk blijft.

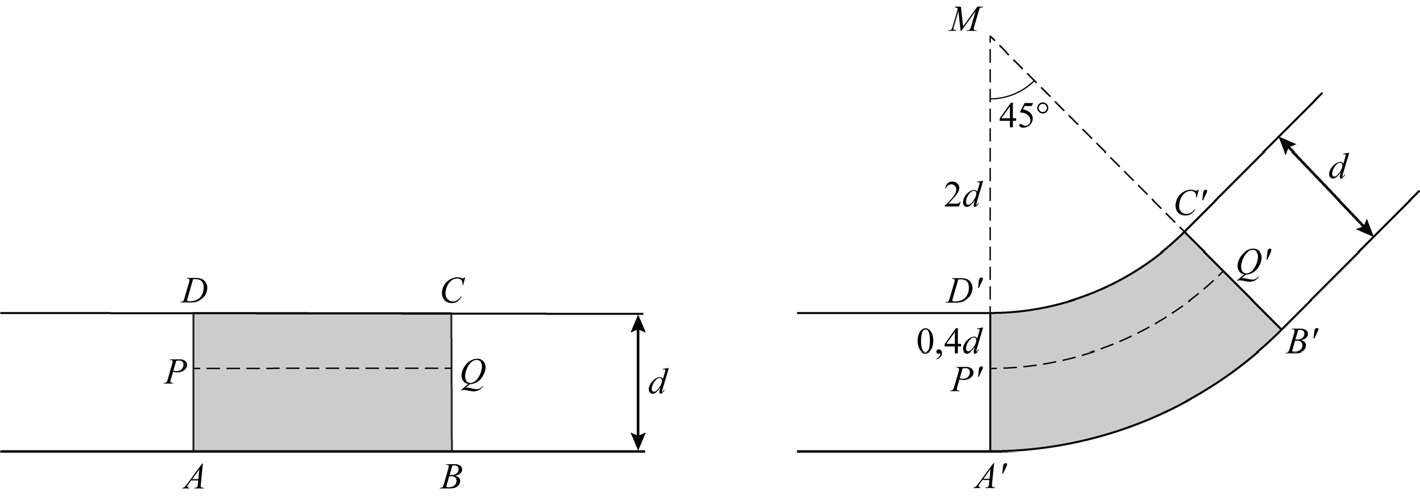
In figuur 3 is het vooraanzicht van een metalen plaat met een dikte van d \pummd \ \pu{mm} zowel vóór als na het buigen weergegeven. Wanneer de plaat wordt gebogen over een hoek van 45°45\degree, verandert rechthoek ABCDABCD in de vorm ABCDA'B'C'D'. Hierbij is boog CDC'D' de boog van een cirkel met middelpunt MM en straal 2d2d en ABA'B' de boog van een cirkel met middelpunt MM en straal 3d3d. De neutrale lijn PQP'Q' is een cirkelboog op een afstand van 0,4d0,4d van boog CDC'D' . Verder geldt dat de lengte van de neutrale lijn gelijk blijft, dus de lengte van boog PQP'Q' is gelijk aan de lengte van PQPQ.

1. [5p]

Bereken algebraïsch hoeveel procent de oppervlakte van vlakdeel ABCDA'B'C'D' groter is dan de oppervlakte van vlakdeel ABCDABCD. Geef je eindantwoord als geheel getal.

De kracht die uitgeoefend moet worden op een metalen plaat om deze te buigen, hangt af van het soort metaal, de dikte van het metaal en de breedte van de opening van de matrijs. De formule om deze kracht uit te rekenen luidt:

F=Rd2V(1+4dV)(1)F=\frac{R \cdot d^2}{V} \left( 1+\frac{4d}{V} \right) \tag{1}

Hierbij is:

  • FF de benodigde kracht (in \pukN/m\pu{kN/m});
  • RR een constante die afhangt van het soort metaal;
  • dd de dikte van het metaal (in \pumm\pu{mm});
  • VV de breedte van de opening van de matrijs (in \pumm\pu{mm}).

Voor het buigen van een metalen plaat met een dikte van \pu10mm\pu{10 mm} op een matrijs met een opening van \pu200mm\pu{200 mm} is een kracht van 420 kN/m\pu{420 kN/m} nodig. Als je deze metalen plaat zou buigen op een matrijs met een opening van \pu100mm\pu{100 mm} is meer kracht nodig.

2. [3p]

Bereken algebraïsch hoeveel kracht er nodig is om deze metalen plaat te buigen op een matrijs met een opening van \pu100mm\pu{100 mm} breed. Geef je eindantwoord als een geheel getal.

Om bij een gegeven plaatdikte de breedte van de opening van de matrijs te berekenen, wordt de volgende formule gebruikt:

V=d1,75(2)V=d^{1,75} \tag{2}

Door formule 1 en formule 2 te combineren krijg je een formule die de benodigde kracht FF uitdrukt in RR en dd.

Er is een plaatdikte dd waarbij de benodigde kracht FF minimaal is.

3. [4p]

Bereken exact deze waarde van dd.